• Το Γνωρίζατε;
  • Η φράση «έφαγε χυλόπιτα» προέρχεται από το παρασκεύασμα χυλού που έδιναν παλιά οι ψευτογιατροί για τον περιορισμό του καημού των ερωτευμένων!

  • Τελευταία νέα

Πώς στήθηκε η κομπίνα με την Proton Bank


Να πώς στήθηκε η υπόθεση παράνομων δανειοδοτήσεων από την Proton Bank σε εταιρίες συμφερόντων του Λ. Λαυρεντιάδη και πως εκατομμύρια ευρώ κατέληξαν στις τσέπες υπαλλήλων του και στα ταμεία εταιρειών απευθείας. Από τη Δικαιοσύνη περιγράφεται πως «κατασκευάστηκαν» εταιρείες για να εισπράξουν τα δάνεια εκατομμυρίων από την Proton, αλλά αποδίδεται και οργάνωση εγκληματικής ομάδας σε στελέχη και τον ίδιο τον Λ. Λαυρεντιάδη στην προσπάθεια να εξαπατηθούν και οι ελεγκτικοί μηχανισμοί της Τράπεζας της Ελλάδος.

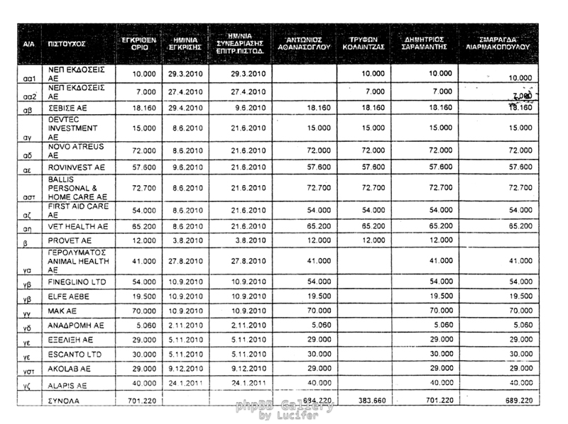
Το βούλευμα -κόλαφο για τον επιχειρηματία Λαυρέντη Λαυρεντιάδη και άλλους τριάντα επιχειρηματίες-συνεργάτες του στην τράπεζα ή στις εταιρίες που δανειοδοτήθηκαν από την Proton Bank με 701.200.000 ευρώ αποκαλύπτει σήμερα το Βήμα. Πρόκειται για το βούλευμα με το οποίο απαγορεύτηκε η κίνηση όλων των λογαριασμών στις τράπεζες και κατασχέθηκαν τα ποσά που βρίσκονταν στις θυρίδες για τους: Λαυρ. Λαυρεντιάδη, Αντ. Αθανάσογλου, Αθ. Παπασπηλίου, Δημ. Σαραμάντη,Σμ. Λιαρμακοπούλου, Τρυφ. Κολλίντζα, Γραμ. Αρβανίτη, Πετρ. Κυριακίδη, Σοφ. Ρόβλη, Κων. Μπαλλή, Αντ. Ρογκόπουλο, Ιωάννα Τόρη, Νικολ. Κόρμπη, Ηλ. Μακρή, Κων. Μούτσο, Γ. Γεωργάρα, Κων. Χριστοδούλου, Άννα Παριανού, Νικ. Λινάρδου, Βασ. Γραβάνη, Στυλ. Κυμπαρίδη, Απ. Μελισσίδη, Αγγ. Παναγιωτίδου, Δημ. Βασιλόπουλου, Ανδρ. Μίχου, Αρμ. Βωβού, Αικατερίνη Παπαδοπούλου και Διον. Μπίθαρη.

Στο βούλευμα παρατίθεται αναλυτικός κατάλογος, τον οποίο δημοσιεύουμε, με τά ποσά που έλαβαν οι εταιρείες, που χαρακτηρίζονται ότι είναι συμφερόντων του Λ. Λαυρεντιάδη. Τα ποσά είναι σε χιλιάδες ευρώ.

Σύμφωνα με το βούλευμα από την προκαταρκτική εξέταση προέκυψε ότι κατά το διάστημα από τον Ιανουάριο του 2010 ως τον Ιανουάριο του 2011 ο Λαυρεντιάδης και οι άλλοι συνεργάτες του «με κοινό δόλο και εκμεταλλευόμενοι τη θέση τους στην Proton Bank χορήγησαν σε εταιρίες άμεσα ή έμμεσα ελεγχόμενες από τον Λ. Λαυρεντιάδη δάνεια εκατοντάδων εκατομμυρίων ευρώ (701 εκ.), χωρίς τις απαιτούμενες διασφαλίσεις, χωρίς εγγυήσεις και με εξαιρετικά υψηλό πιστωτικό κίνδυνο με συνέπεια να απειληθεί και υποστεί ζημιά η τράπεζα. Για να επιτύχουν τον σκοπό τους αυτόν ενεργώντας με δόλο απέκρυψαν απο τις εποπτικές αρχές και τους μετόχους της τράπεζας το γεγονός ότι τα χορηγούμενα δάνεια δίνονταν σε εταιρείες που συνδέονταν άμεσα ή έμμεσα με τον Λ. Λαυρεντιάδη, δηλαδή απέκρυπταν τον ενιαίο πιστωτικό κίνδυνο. Αυτό σημαίνει ότι οι εποπτικές αρχές και οι μέτοχοι θεωρούσαν ότι χορηγούσαν δάνεια τηρώντας το νομοκανονιστικό πλαίσιο του Ελληνικού Τραπεζικού Συστήματος.... Όμως, όπως προέκυψε, τα δάνεια χορηγούνταν προς εταιρίες που αποτελούν ομάδα συνδεδεμένων πελατών, άρα αντιπροσωπεύουν ενιαίο κίνδυνο, με πιστοδοτήσεις που δεν καλύπτονταν με άμεσα ρευστοποιήσιμα στοιχεία»...

«...Οι θυγατρικές της Alapis Provet A.E, Alapis Medical and Diagnosticw AE, Γερολυμάτος Prestige AE, Γερολυμάτος Cosmetics ΑΕ, Beautyworks AE, Γερολυμάτος Animal Health AE,κ.λ.π. μεταβιβάστηκαν προς συνεργάτες του Λαυρ. Λαυρεντιάδη, που ήταν στελέχη του Ομίλου Alapis. Πολλοί από αυτούς ήταν μεταγενέστεροι μέτοχοι των εταιρειών, τις οποίες πούλησαν στον Όμιλο. Οι νέοι μέτοχοι δεν συνεισέφεραν με ίδια κεφάλαια στην αγορά των κλάδων και των θυγατρικών η οποία χρηματοδοτήθηκε από την τράπεζα... Μεγάλο μέρος των χορηγήσεων της Τράπεζας, δηλαδή ποσό 701.220.000 ευρώ διοχετεύθηκε σε επιχειρήσεις συμφερόντων Λαυρεντιάδη κατόπιν εγκρίσεων νέων πιστοδοτικών ορίων ή αύξησης πιστοδοτικών ορίων τις οποίες παρέσχαν υπό την ιδιότητα τους ως μέλη της Επιτροπής Πιστοδοτήσεων... »

Σύμφωνα με το βούλευμα «τα ποσά εγκρίθηκαν χωρίς αξιολόγηση του υψηλού πιστωτικού κινδύνου», ενώ υπάρχει παράρτημα και για δάνεια προς τις εταιρίες WGR Global Investements AE, WGR Universl Investments AE και Νεοχημική για τις οποίες «από τον έλεγχο της Τράπεζας της Ελλάδος διαπιστώθηκε ζημιά ύψους 191.000.000 ευρώ, η οποία προκύπτει ότι αμφισβητήθηκε από την Τράπεζα. Η πραγματική ζημιά, που απειλήθηκε κατά το κρίσιμο διάστημα ανέρχεται στο ποσό των 701 εκ. ευρώ...».

«Από ενημερωτικό σημείωμα της Τράπεζας της Ελλάδος (3-10-2011) προκύπτει επίσης ότι σε τέσσερις αποδέκτες ή ομάδες κατέληξαν μετρητά ή κατέθηκαν σε λογαριασμούς τους χωρίς αιτιολόγηση. Σε λογαριασμούς δυο αποδεκτών, μάλιστα, κατατέθηκαν μετρητά, χωρίς να προκύπτει ότι έχουν αναληφθεί από λογαριασμούς των ιδίων ή των εταιρειών τους. Τα ποσά, που αναλύονται με πίνακες εμφανίζονται να δίνονται σε δύο αποδέκτες και εταιρε ίες και είναι σύμφωνα με το βούλευμα ποσά 14.740.000 ευρώ και 5.400.000 ευρώ αντίστοιχα. Για τον Διον. Μπίθαρη αναφέρεται ότι από τις 25.11.2010 έως τις 24.3.2011 ανέλαβε μετρητά χωρίς αιτιολόγηση από χρηματοδοτήσεις της Proton με έκδοση 38 επιταγών μετρητά συνολικού ύψους 2.950.000 ευρώ χωρίς αιτιολόγηση. Επίσης κατά το διάστημα από 17.11.2010 μέχρι 23.12.2010 ανέλαβε μετρητά χωρίς αιτιολόγηση συνολικό ποσό 550.000 ευρώ από τα διαθέσιμα των εταιρειών του Ομίλου...

Ο Δημ. Βασιλόπουλος από τις 25.11.2010 έως τις 24.3.2011 ανέλαβε σε μετρητά ποσό 1.550.000 ευρώ, χωρίς αιτιολόγηση και οι αναλήψεις έγιναν με την έκδοση 19 επιταγών. και ο Ανδρέας Μίχος ανέλαβε μετρητά το ίδιο διάστημα, σύμφωνα με το βούλευμα».

Συμπερασματικά σύμφωνα με το κείμενο του βουλεύματος προκύπτει ότι:

«Κατόπιν σχεδίου "κατασκευάστηκαν" εταιρίες για να δεχτούν χωρίς εξασφαλίσεις και προσωπικές εγγυήσεις δάνεια από την παθούσα τράπεζα Proton bank με εξαπάτηση των εποπτικών αρχών και μετόχων, τα οποία στη συνέχεια ακολούθησαν μια διαδρομή πολυδαίδαλη μέσα από την μεταφορά τους από εταιρεία σε εταιρεία, ώστε να είναι απολύτως δυσχερής η παρακολούθηση τους από εποπτικές αρχές και ένα μεγάλο μέρος τους να εκταμιεύεται από πρόσωπα που εργάζονται στις επιχειρήσεις Λαυρεντιάδη. ή χρησιμοποιήθηκαν για εντελώς άλλους σκοπούς από αυτούς που δήθεν χορηγήθηκαν, δια του χρηματοπιστωτικού τομέα, με απώτερο σκοπό την ένταξη των "δανείων" στο οικονομικό σύστημα έχοντας αποκτήσει νομιμοφάνεια. Η διαδικασία νομιμοποίησης που ακολουθήθηκε περιελάμβανε την κατοχή, χρήση και διαχείριση του εγκληματικού προϊόντος, την απόκρυψη του και τη χρήση του χρηματοπιστωτικού τομέα».

Επίσης προκύπτουν σοβαρές ενδείξεις ότι η παραπάνω διαδικασία σχεδιάστηκε και εκτελέστηκε από «τα προαναφερόμενα άτομα, που έδρασαν στα πλαίσια οργανωμένης ομάδας, με συγκεκριμένους ρόλους».

Προβολές: 453  •  Σχόλια: 0  •  Γράψτε σχόλια [ Πίσω ]


  • Άρθρα

Δημοσίευση Δίαιτα: Τα έξι λάθη που δεν πρέπει να κάνετε για να χάσετε κιλά


Οι διάφορες δίαιτες εστιάζουν συνήθως στον περιορισμό των θερμίδων και την αποφυγή συγκεκριμένων τροφών που δεν βοηθούν στο να χάσουμε κιλά και βάρος. Πολλές φορές όμως οι δίαιτες ξεχνούν να σημειώνουν ορισμένα πράγματα που παίζουν σημαντικό ρόλο στην επιβράδυνση ή επιτάχυνση του μεταβολισμού μας. Ιδού τα συνηθήστερα λάθη που δεν πρέπει να κάνετε αν θέλετε να χάσετε κιλά.

Δεν τρώτε αρκετά γαλακτοκομικά
Οι μύες είναι απαραίτητοι για τη διατήρησ ...

Προβολές: 17654  •  Σχόλια: 0  •  Γράψτε σχόλια [ Διαβάστε τα όλα ]

Δημοσίευση Δίαιτα της NASA: Χάστε μέχρι 10 κιλά σε 2 εβδομάδες!


Η δίαιτα της NASA είναι ουσιαστικά μια χημική δίαιτα. Λέγεται έτσι γιατί δίνει απώλεια βάρους μεγαλύτερη των 4 κιλών κάθε βδομάδα. Ουσιαστικά με τη δίαιτα αυτή χάνεις κιλά, γιατί υποβάλλεις τον οργανισμό σου σε χημικά σοκ. Εκεί που είχες συνηθίσει τα τηγανητά και τα ροφήματα με πολλές θερμίδες, τα χάνεις και έτσι επέρχεται το σοκ, με αποτέλεσμα να αυξάνονται οι καύσεις, να επιταχύνεται ο μεταβολισμός και τέλος η απώλεια κιλών.

Αν ακολουθήσετε ...

Προβολές: 15043  •  Σχόλια: 0  •  Γράψτε σχόλια [ Διαβάστε τα όλα ]

Δημοσίευση Οι δέκα τροφές για μείωση βάρους και καύση λίπους


Μήλα
Τα μήλα είναι από τα πιο υγιεινά φρούτα και μάλιστα που πρέπει να τρώτε καθημερινά. Κι αυτό γιατί κάθε μήλο περιέχει 5 γραμμάρια ινών, αλλά και πηκτίνη η οποία είναι ένα φυσικό στοιχείο καύσης λίπους. Τα μήλα δεν έχουν πολύ ζάχαρη ή θερμίδες, γεγονός που τα καθιστά ιδανικό σνακ για ισορροπημένη διατροφή για καύσεις και απώλεια βάρους.

Γιαούρτι
Με υψηλή περιεκτικότητα σε πρωτεΐνη, το γιαούρτι είναι το τέλειο σνακ για οποιαδήπο ...

Προβολές: 14865  •  Σχόλια: 0  •  Γράψτε σχόλια [ Διαβάστε τα όλα ]

Δημοσίευση Συμφωνία αμέσως αλλιώς... GAME OVER


Τον κώδωνα του κινδύνου στη νέα κυβέρνηση κρούει το Γραφείο της Βουλής για την παρακολούθηση της εκτέλεσης του κρατικού προϋπολογισμού, καλώντας την να λάβει τις αποφάσεις της «το ταχύτερο δυνατό».

«Οι αποφάσεις της νέας κυβέρνησης πρέπει να ληφθούν ταχύτατα προκειμένου να αναστραφεί το κλίμα που προκάλεσε η προκήρυξη εκλογών, η μη επίτευξη συμφωνίας με την Τρόικα και η απόπειρα της κυβέρνησης της ΝΔ/ΠΑΣΟΚ να προσφύγει στις αγορές τον Οκτώβρι ...

Προβολές: 20117  •  Σχόλια: 0  •  Γράψτε σχόλια [ Διαβάστε τα όλα ]

Δημοσίευση Ριψοκίνδυνη στρατηγική στην τελική ευθεία προς τις κάλπες


Πυκνή, πλήρης γεγονότων, η μικρή προεκλογική περίοδος εισέρχεται στην τελική της φάση, όπως ακριβώς ξεκίνησε: με την οικονομία στο κέντρο της αντιπαράθεσης των κομμάτων σε ένα περιβάλλον φόβων και ανησυχιών για την επόμενη μέρα. Οι ψηφοφόροι βομβαρδίζονται από την αρχή της προεκλογικής περιόδου από δυσμενείς ειδήσεις, πληροφορίες και φήμες για την εξέλιξη της οικονομίας, για τους κινδύνους και τις απειλές που την καταδιώκουν, για τις καταθέσ ...

Προβολές: 16873  •  Σχόλια: 0  •  Γράψτε σχόλια [ Διαβάστε τα όλα ]


  • Καθολικές Ανακοινώσεις

Δημοσίευση κάντο γνωστό!!!


Μια νέα ενότητα προστέθηκε στην Αρχική σελίδα και την αρχική σελίδα του Forum. Ο τίτλος της "Αυτό το ήξερες;" βοηθείστε όλοι να την εμπλουτίσουμε με εγκυκλοπαιδικές γνώσεις που δεν είναι γνωστές στον πολύ κόσμο.

Αν η καταχώρηση που θα κάνετε είναι σύν ...

Προβολές: 10308  •  Σχόλια: 0  •  Δημιουργία απάντησης [ Διαβάστε τα όλα ]


  • Ποιος είναι online;
  • Συνολικά υπάρχουν 43 μέλη σε σύνδεση: 2 εγγεγραμμένα, 0 με απόκρυψη και 41 επισκέπτες (με βάση τα μέλη που ήταν ενεργά τα τελευταία 5 λεπτά)
    Περισσότερα μέλη σε σύνδεση 1141 την Σάβ 25 Οκτ 2025, 22:04





  • Ρολόι

  • Έναρξη Ιστοσελίδας
  • Online από: Σάβ. 27 Ιουν. 2009 για 16 Χρόνια 4 Μήνες και 1 Ημέρα


  • Αναζήτηση

  • Κορυφαίος Συντάκτης

  • Νεότερα μέλη

  •  Η Ομάδα μας

  •  Γενέθλια
  • Κανένα μέλος δεν έχει γενέθλια σήμερα
    Τις επόμενες 10 ημέρες
    Nitsos (61)
    smaragda (41)
    STILIOS (57)
    pathos (48)

  • Στυλ Ιστοσελίδας


  • Ο Σύνδεσμος μας
  • Μη διστάσετε να συνδεθείτε με www.pontiki.gr . Χρησιμοποιήστε το ακόλουθο HTML:

    HTML:


    BBCode:


  • Ποιος ήταν εδώ;
  • Συνολικά υπήρχαν 5073 χρήστες συνδεμένοιLFWWH_STATS_SEPARATOR 0 εγγεγραμμένοι, 0 με απόκρυψη, 5 bots και 5068 επισκέπτες (με βάση τους ενεργούς χρήστες τις τελευταίες 24 ώρες)
    Περισσότεροι χρήστες σε σύνδεση 6483 μεταξύ Τρί. 21 Οκτ. 2025 και Τετ. 22 Οκτ. 2025


  • Όνομα μέλους:


    Κωδικός:


    Θυμήσου με

    Εγγραφή!


  • Ημερολόγιο
  • Οκτ. 2025
    Κυ Δε Τρ Τε Πε Πα Σα
    1 2 3 4
    5 6 7 8 9 10 11
    12 13 14 15 16 17 18
    19 20 21 22 23 24 25
    26 27 28 29 30 31

  • Φίλοι
  • Συνδεμένοι
    Χωρίς φίλους Συνδεμένους

    Αποσυνδεμένοι
    Χωρίς φίλους Αποσυνδεμένους

  • Η ομάδα

  • Τυχαίο Μέλος

  • Σύνδεση:Τρί 14 Ιούλ 2009, 00:26
    Αναρτήσεις:0

  • Δημοσκόπιση
  • Σας αρέσει η ιστοσελίδα μας;

    Είναι Πολύ καλή

    87%
    Είναι Καλή

    7%
    Είναι Μέτρια

    7%
    Ειναι Κακή

    Δεν υπάρχουν ψήφοι
    Είναι Χάλια

    Δεν υπάρχουν ψήφοι

    Σύνολο ψήφων : 15

    Προβολή θέματος


  • Στατιστικά
  • Σύνολα
    Συνολικές δημοσιεύσεις 7031
    Σύνολο θεμάτων 6813
    Σύνολο Ανακοινώσεων: 1
    Σύνολο Σημειώσεων: 33
    Σύνολο Συνημμένα: 3

    Θέματα ανά ημέρα: 1
    Δημοσιεύσεις ανά ημέρα: 1
    Χρήστες ανά ημέρα: 0
    Θέματα ανά χρήστη: 6
    Δημοσιεύσεις ανά χρήστη: 7
    Δημοσιεύσεις ανά θέμα: 1

    Σύνολο μελών 1075
    Το νεότερο μέλος μας EYTYXIA

  • Τελευταία bots
  • Ahrefs [Bot]
    Τρί 28 Οκτ 2025, 12:02